...
Kurser Alla kurser Min kurs Min sida Min sida Provbank Mina prov Läromedel Blogg Hjälp & Guider Om oss Kontakt Nationella prov Gamla högskoleprov Screening Priser
Sök Mitt konto Logga ut Elev/lärare
-registrering
Logga in Köp Premium Köp Premium Prova gratis
Genom att använda den här sidan godkänner du våra användarvillkor, vår integritetspolicy och att vi använder cookies.
EXEMPEL I VIDEON
Lägg till som läxa
Lägg till som stjärnmärkt
  Lektionsrapport   Hjälp

Frågor hjälpmarkerade!

Alla markeringar försvinner.

Ta bort markeringar Avbryt
Kopiera länk Facebook X (Twitter) Repetera Rapportera Ändra status
KURSER  / 
Matematik 2b
 /   Nationellt prov Matematik 2b vt 2017 DEL B och C

Nationellt prov Matematik 2b vt 2017 DEL B och C

Endast Premium- användare kan rösta.
Författare:Simon Rybrand
Redigera lektion Redigera text Redigera övning Redigera video Skapa thumbnails

██████████████████████████
████████████████████████████████████████████████████

0-uppgifter (25)

  • Delprov B: Digitala verktyg är inte tillåtna. Endast svar krävs.

  • 1.

    Figuren visar grafen till andragradsfunktionen $f$f.

  • a) Premium

    Redigera uppgift Rapportera fel Ändra till korrekt
    (1/0/0)
    E C A
    B 1
    P
    PL
    M
    R
    K
    M EXIT NP INGÅR EJ Uppgift från prov

    Bestäm funktionens nollställen.

    Svar:
    π²
    Ditt svar:
    Rätt svar:
    (Korrekta varianter)
    {[{correctAnswer}]}
    Bedömningsanvisningar/Manuell rättning
    Klicka i rutorna och bedöm ditt svar.
    • Rättad
    • +1
    • Rättad
    Dela med lärare
    Rättar...
  • b) Premium

    Redigera uppgift Rapportera fel Ändra till korrekt
    (1/0/0)
    E C A
    B 1
    P
    PL
    M
    R
    K
    M EXIT NP INGÅR EJ Uppgift från prov

    Bestäm funktionens största värde.

    Svar:
    π²
    Ditt svar:
    Rätt svar:
    (Korrekta varianter)
    {[{correctAnswer}]}
    Bedömningsanvisningar/Manuell rättning
    Klicka i rutorna och bedöm ditt svar.
    • Rättad
    • +1
    • Rättad
    Se mer:Videolektion: Minsta och Största värde
    Liknande uppgifter: andragradsfunktion största värde
    Dela med lärare
    Rättar...
  • 2.

    Koordinatsystemen A–F visar grafiska representationer av linjära ekvationssystem.

  • a) Premium

    Redigera uppgift Rapportera fel Ändra till korrekt
    (1/0/0)
    E C A
    B
    P 1
    PL
    M
    R
    K
    M EXIT NP INGÅR EJ Uppgift från prov

    Ett av koordinatsystemen A–F visar ekvationssystemet $ \begin{cases} y=-\frac{1}{2}x+2 \\ y=2x-3 \end{cases} $

    Vilket?

    Svar:
    π²
    Ditt svar:
    Rätt svar:
    (Korrekta varianter)
    {[{correctAnswer}]}
    Bedömningsanvisningar/Manuell rättning
    Klicka i rutorna och bedöm ditt svar.
    • Rättad
    • +1
    • Rättad
    Dela med lärare
    Rättar...
  • Så hjälper Eddler dig:
    Videor som är lätta att förstå Övningar & prov med förklaringar
    Allt du behöver för att klara av provet
    Så hjälper Eddler dig:
    Videor som är lätta att förstå Övningar & prov med förklaringar
    Allt du behöver för att klara av provet
    Din skolas prenumeration har gått ut!
    Påminn din lärare om att förnya eller fortsätt plugga med Eddler på egen hand.
    Så funkar det för:
    Elever/Studenter Lärare Föräldrar
    Din skolas prenumeration har gått ut!
    Förnya er prenumeration. Kontakta oss på: info@eddler.se
  • b) Premium

    Redigera uppgift Rapportera fel Ändra till korrekt
    (1/0/0)
    E C A
    B 1
    P
    PL
    M
    R
    K
    M EXIT NP INGÅR EJ Uppgift från prov

    Markera lösningen till ekvationssystemet $ \begin{cases} y=-\frac{1}{2}x+2 \\ y=2x-3 \end{cases} $ i det valda koordinatsystemet.

    Svar:
    Ditt svar:
    Rätt svar:
    (Korrekta varianter)
    {[{correctAnswer}]}
    Bedömningsanvisningar/Manuell rättning
    Klicka i rutorna och bedöm ditt svar.
    • Rättad
    • +1
    • Rättad
    Liknande uppgifter: Linjära ekvationssystem
    Dela med lärare
    Rättar...
  • 3.

    Förenkla uttrycken så långt som möjligt.

  • a) Premium

    Redigera uppgift Rapportera fel Ändra till korrekt
    (1/0/0)
    E C A
    B
    P 1
    PL
    M
    R
    K
    M EXIT NP INGÅR EJ Uppgift från prov

     $(y+3)^2+y^2-9$(y+3)2+y29 

    Svar:
    π²
    Ditt svar:
    Rätt svar:
    (Korrekta varianter)
    {[{correctAnswer}]}
    Bedömningsanvisningar/Manuell rättning
    Klicka i rutorna och bedöm ditt svar.
    • Rättad
    • +1
    • Rättad
    Dela med lärare
    Rättar...
  • b) Premium

    Redigera uppgift Rapportera fel Ändra till korrekt
    (0/1/0)
    E C A
    B
    P 1
    PL
    M
    R
    K
    M EXIT NP INGÅR EJ Uppgift från prov

     $(3b-2)^2-(b+4)$(3b2)2(b+4) 

    Svar:
    π²
    Ditt svar:
    Rätt svar:
    (Korrekta varianter)
    {[{correctAnswer}]}
    Bedömningsanvisningar/Manuell rättning
    Klicka i rutorna och bedöm ditt svar.
    • Rättad
    • +1
    • Rättad
    Dela med lärare
    Rättar...
  • 4.

    Lös ekvationerna och svara exakt.

  • a) Premium

    Redigera uppgift Rapportera fel Ändra till korrekt
    (1/0/0)
    E C A
    B
    P 1
    PL
    M
    R
    K
    M EXIT NP INGÅR EJ Uppgift från prov

    $5^x=20$5x=20

    Svar:
    π²
    Ditt svar:
    Rätt svar:
    (Korrekta varianter)
    {[{correctAnswer}]}
    Bedömningsanvisningar/Manuell rättning
    Klicka i rutorna och bedöm ditt svar.
    • Rättad
    • +1
    • Rättad
    Liknande uppgifter: exponentialekvationer logaritmer
    Dela med lärare
    Rättar...
  • b) Premium

    Redigera uppgift Rapportera fel Ändra till korrekt
    (1/0/0)
    E C A
    B
    P 1
    PL
    M
    R
    K
    M EXIT NP INGÅR EJ Uppgift från prov

     $x^{\frac{1}{5}}=10$x15 =10 

    Svar:
    π²
    Ditt svar:
    Rätt svar:
    (Korrekta varianter)
    {[{correctAnswer}]}
    Bedömningsanvisningar/Manuell rättning
    Klicka i rutorna och bedöm ditt svar.
    • Rättad
    • +1
    • Rättad
    Se mer:Videolektion: Potensekvationer
    Liknande uppgifter: Potensekvationer
    Dela med lärare
    Rättar...
  • c) Premium

    Redigera uppgift Rapportera fel Ändra till korrekt
    (0/1/0)
    E C A
    B
    P 1
    PL
    M
    R
    K
    M EXIT NP INGÅR EJ Uppgift från prov

    $3^{2x}=2\cdot3^x$32x=2·3x 

    Svar:
    π²
    Ditt svar:
    Rätt svar:
    (Korrekta varianter)
    {[{correctAnswer}]}
    Bedömningsanvisningar/Manuell rättning
    Klicka i rutorna och bedöm ditt svar.
    • Rättad
    • +1
    • Rättad
    Dela med lärare
    Rättar...
  • 5. Premium

    Redigera uppgift Rapportera fel Ändra till korrekt
    (0/1/0)
    E C A
    B
    P
    PL
    M 1
    R
    K
    M EXIT NP INGÅR EJ Uppgift från prov

    Lena tränar på gym och använder en maskin för att träna ryggen. Genom att stoppa in en sprint i en viktskiva på maskinens viktstapel kan hon välja den totala vikt hon vill använda. Se bilderna.

    Den minsta vikt som maskinen kan ställas in på är  $5$5  kg och viktskivan är då märkt med $5$5. Därefter är viktskivorna märkta med $12,\text{ }19,\text{ }26,\text{ }…\text{ },138$12, 19, 26, … ,138 enligt tabellen.

    Låt $y$y vara den totala vikten i kg som Lena använder och $x$x antalet viktskivor som hon väljer i viktstapeln.

    Ställ upp en funktion för hur den totala vikten, $y$y kg, beror av antalet valda viktskivor $x$x.

    Svar:
    π²
    Ditt svar:
    Rätt svar:
    (Korrekta varianter)
    {[{correctAnswer}]}
    Bedömningsanvisningar/Manuell rättning
    Klicka i rutorna och bedöm ditt svar.
    • Rättad
    • +1
    • Rättad
    Se mer:Videolektion: Räta linjens ekvation
    Dela med lärare
    Rättar...
  • 6. Premium

    Redigera uppgift Rapportera fel Ändra till korrekt
    (0/1/0)
    E C A
    B 1
    P
    PL
    M
    R
    K
    M EXIT NP INGÅR EJ Uppgift från prov

    Figuren visar en cirkel med två kordor $AC$AC och $BD$BD som går genom en gemensam punkt och där delsträckornas längder är angivna.

    Beräkna längden av kordan $AC$AC. Svara exakt.

    Svar:
    π²
    Ditt svar:
    Rätt svar:
    (Korrekta varianter)
    {[{correctAnswer}]}
    Bedömningsanvisningar/Manuell rättning
    Klicka i rutorna och bedöm ditt svar.
    • Rättad
    • +1
    • Rättad
    Liknande uppgifter: kordasatsen
    Dela med lärare
    Rättar...
  • 7. Premium

    Redigera uppgift Rapportera fel Ändra till korrekt
    (0/1/0)
    E C A
    B 1
    P
    PL
    M
    R
    K
    M EXIT NP INGÅR EJ Uppgift från prov

    Två av alternativen A–F visar en lösning till ekvationen $x^2+3=0$x2+3=0. Vilka två?

    A.   $x=-\sqrt{3}$x=3

    B.   $x=\mathrm{i}\sqrt{3}$x=i3

    C.   $x=3\sqrt{\mathrm{i}}$x=3i

    D.   $x=-\mathrm{i}\sqrt{3}$x=i3

    E.   $x=-3\sqrt{\mathrm{i}}$x=3i

    F.   $x=\sqrt{3}$x=3

    Svar:
    π²
    Ditt svar:
    Rätt svar:
    (Korrekta varianter)
    {[{correctAnswer}]}
    Bedömningsanvisningar/Manuell rättning
    Klicka i rutorna och bedöm ditt svar.
    • Rättad
    • +1
    • Rättad
    Liknande uppgifter: andragradsekvationer komplexa tal
    Dela med lärare
    Rättar...
  • 8. Premium

    Redigera uppgift Rapportera fel Ändra till korrekt
    (0/1/0)
    E C A
    B
    P
    PL 1
    M
    R
    K
    M EXIT NP INGÅR EJ Uppgift från prov

    Beräkna värdet av uttrycket  $4444^2-4443^2$4444244432 

    Ledtråd: Kan lösas med konjugatregeln.

    Svar:
    π²
    Ditt svar:
    Rätt svar:
    (Korrekta varianter)
    {[{correctAnswer}]}
    Bedömningsanvisningar/Manuell rättning
    Klicka i rutorna och bedöm ditt svar.
    • Rättad
    • +1
    • Rättad
    Liknande uppgifter: konjugatregeln
    Dela med lärare
    Rättar...
  • 9.

    För att kontrollera att alla kanelsnäckor som bakas på ett bageri väger ungefär lika mycket vägs kanelsnäckorna. Det visar sig att vikten är normalfördelad med medelvikten $80$80 g.

    Av kanelsnäckorna är det  $81,8text{ }%$81,8 % som förväntas väga mellan  $77$77  och  $86$86 g.

  • a) Premium

    Redigera uppgift Rapportera fel Ändra till korrekt
    (0/1/0)
    E C A
    B 1
    P
    PL
    M
    R
    K
    M EXIT NP INGÅR EJ Uppgift från prov

    Ange standardavvikelsen.

    Svar:
    π²
    Ditt svar:
    Rätt svar:
    (Korrekta varianter)
    {[{correctAnswer}]}
    Bedömningsanvisningar/Manuell rättning
    Klicka i rutorna och bedöm ditt svar.
    • Rättad
    • +1
    • Rättad
    Se mer:Videolektion: Standardavvikelse
    Liknande uppgifter: Normalfördelning standavvikelse
    Dela med lärare
    Rättar...
  • b) Premium

    Redigera uppgift Rapportera fel Ändra till korrekt
    (0/0/2)
    E C A
    B 1
    P
    PL
    M
    R
    K 1
    M EXIT NP INGÅR EJ Uppgift från prov

    Bageriet har som regel att inte sälja de kanelsnäckor som avviker två standardavvikelser eller mer från medelvikten 80 g.

    Ange vikten, $v$v gram, för de kanelsnäckor som bageriet inte säljer.

    Svar:
    π²
    Ditt svar:
    Rätt svar:
    (Korrekta varianter)
    {[{correctAnswer}]}
    Bedömningsanvisningar/Manuell rättning
    Klicka i rutorna och bedöm ditt svar.
    • Rättad
    • +1
    • Rättad
    Se mer:Videolektion: Standardavvikelse
    Liknande uppgifter: Normalfördelning standaravvikelse
    Dela med lärare
    Rättar...
  • 10. Premium

    Redigera uppgift Rapportera fel Ändra till korrekt
    (0/0/1)
    E C A
    B 1
    P
    PL
    M
    R
    K
    M EXIT NP INGÅR EJ Uppgift från prov

    Figuren visar grafen till en exponentialfunktion $f$f.

    Använd grafen och bestäm $x$x$\lg f(x)=2$lg f(x)=2.

    Svar:
    π²
    Ditt svar:
    Rätt svar:
    (Korrekta varianter)
    {[{correctAnswer}]}
    Bedömningsanvisningar/Manuell rättning
    Klicka i rutorna och bedöm ditt svar.
    • Rättad
    • +1
    • Rättad
    Se mer:Videolektion: Tiologaritmen
    Liknande uppgifter: logaritmer
    Dela med lärare
    Rättar...
  • Delprov C: Digitala verktyg är inte tillåtna. Fullständiga lösningar krävs.

  • 11.

    En bostadsrätt köptes i januari år 2000 för 700 000 kr och såldes i januari år 2016 för 2,3 miljoner kr.

    Graferna A, B och C visar tre olika tänkbara modeller för bostadsrättens värdeutveckling där $y$y är bostadsrättens värde i miljoner kr och $x$x är tiden i år efter januari år 2000.

     

  • a) Premium

    Redigera uppgift Rapportera fel Ändra till korrekt
    (1/0/0)
    E C A
    B
    P
    PL
    M 1
    R
    K
    M EXIT NP INGÅR EJ Uppgift från prov

    En av graferna visar att den årliga procentuella förändringen av bostadsrättens värde har varit lika stor mellan åren 2000 och 2016. Ange vilken graf och motivera ditt svar.

    Svar:
    Ditt svar:
    Rätt svar:
    (Korrekta varianter)
    {[{correctAnswer}]}
    Bedömningsanvisningar/Manuell rättning
    Klicka i rutorna och bedöm ditt svar.
    • Rättad
    • +1
    • Rättad
    Se mer:Videolektion: Exponentialfunktioner
    Liknande uppgifter: exponentialfunktioner
    Dela med lärare
    Rättar...
  • b) Premium

    Redigera uppgift Rapportera fel Ändra till korrekt
    (1/0/0)
    E C A
    B
    P
    PL
    M 1
    R
    K
    M EXIT NP INGÅR EJ Uppgift från prov

    Anta att värdeutvecklingen fortsätter med samma årliga procentuella förändring även efter år 2016. Använd grafen och bestäm hur mycket bostadsrätten då skulle vara värd i januari år 2018.

    Svar:
    Ditt svar:
    Rätt svar:
    (Korrekta varianter)
    {[{correctAnswer}]}
    Bedömningsanvisningar/Manuell rättning
    Klicka i rutorna och bedöm ditt svar.
    • Rättad
    • +1
    • Rättad
    Se mer:Videolektion: Exponentialfunktioner
    Liknande uppgifter: exponentialfunktioner
    Dela med lärare
    Rättar...
  • 12.

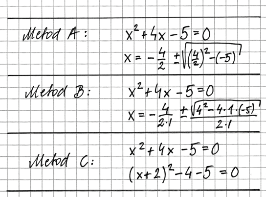
    Figuren visar tre påbörjade algebraiska lösningar av ekvationen $x^2+4x-5=0$x2+4x5=0.

  • a) Premium

    Redigera uppgift Rapportera fel Ändra till korrekt
    (1/0/0)
    E C A
    B
    P
    PL
    M
    R 1
    K
    M EXIT NP INGÅR EJ Uppgift från prov

    Välj en av metoderna A, B eller C och förklara kortfattat vad som är gjort i den påbörjade lösningen.

    Svar:
    Ditt svar:
    Rätt svar:
    (Korrekta varianter)
    {[{correctAnswer}]}
    Bedömningsanvisningar/Manuell rättning
    Klicka i rutorna och bedöm ditt svar.
    • Rättad
    • +1
    • Rättad
    Se mer:Videolektion: PQ - formeln
    Dela med lärare
    Rättar...
  • b) Premium

    Redigera uppgift Rapportera fel Ändra till korrekt
    (1/0/0)
    E C A
    B
    P 1
    PL
    M
    R
    K
    M EXIT NP INGÅR EJ Uppgift från prov

    Fortsätt att lösa ekvationen $x^2+4x-5=0$x2+4x5=0 enligt den valda algebraiska metoden.

    Svar:
    Ditt svar:
    Rätt svar:
    (Korrekta varianter)
    {[{correctAnswer}]}
    Bedömningsanvisningar/Manuell rättning
    Klicka i rutorna och bedöm ditt svar.
    • Rättad
    • +1
    • Rättad
    Se mer:Videolektion: PQ - formeln Kvadratkomplettering
    Dela med lärare
    Rättar...
  • 13. Premium

    Redigera uppgift Rapportera fel Ändra till korrekt
    (1/2/0)
    E C A
    B 1
    P
    PL 2
    M
    R
    K
    M EXIT NP INGÅR EJ Uppgift från prov

    Grafen till en andragradsfunktion $f$f har sitt ena nollställe i $x=3$x=3 och sitt maximum i punkten $(0,\,18)$(0, 18).

    För andragradsfunktionen $f$f gäller att $f(x)=Ax^2+Bx+C$f(x)=Ax2+Bx+C. Bestäm funktionen $f$f.

    Svar:
    Ditt svar:
    Rätt svar:
    (Korrekta varianter)
    {[{correctAnswer}]}
    Bedömningsanvisningar/Manuell rättning
    Klicka i rutorna och bedöm ditt svar.
    • Rättad
    • +1
    • Rättad
    Dela med lärare
    Rättar...
  • 14. Premium

    Redigera uppgift Rapportera fel Ändra till korrekt
    (0/3/0)
    E C A
    B
    P
    PL 2
    M
    R
    K 1
    M EXIT NP INGÅR EJ Uppgift från prov

    I triangeln $ABC$ABC är sträckan $DE$DE parallell med sidan $AB$AB. Se figur.

    Beräkna längden av sträckan $AD$AD.

    Svar:
    Ditt svar:
    Rätt svar:
    (Korrekta varianter)
    {[{correctAnswer}]}
    Bedömningsanvisningar/Manuell rättning
    Klicka i rutorna och bedöm ditt svar.
    • Rättad
    • +1
    • Rättad
    Se mer:Videolektion: Topptriangelsatsen
    Liknande uppgifter: Likformighet topptriangelsatsen
    Dela med lärare
    Rättar...
  • 15. Premium

    Redigera uppgift Rapportera fel Ändra till korrekt
    (0/0/3)
    E C A
    B
    P
    PL
    M
    R 2
    K 1
    M EXIT NP INGÅR EJ Uppgift från prov

    Anta att $a$a, $b$b och $c$c är tre på varandra följande heltal där $a<b<c$a<b<c.

    Undersök om uttrycket  $\frac{a^2+b^2+c^2-2}{3}$a2+b2+c223   alltid är ett heltal för alla sådana på varandra följande heltal $a$a, $b$b och $c$c.

    Svar:
    Ditt svar:
    Rätt svar:
    (Korrekta varianter)
    {[{correctAnswer}]}
    Bedömningsanvisningar/Manuell rättning
    Klicka i rutorna och bedöm ditt svar.
    • Rättad
    • +1
    • Rättad
    Liknande uppgifter: Algebra förenkling
    Dela med lärare
    Rättar...
  • 16. Premium

    Redigera uppgift Rapportera fel Ändra till korrekt
    (0/0/2)
    E C A
    B
    P
    PL 2
    M
    R
    K
    M EXIT NP INGÅR EJ Uppgift från prov

    I en cirkel med diametern 10 cm och medelpunkten $M$M är en triangel $ABC$ABC inskriven så att triangelns alla hörn ligger på cirkelns rand.

    Beräkna vinkeln $v$v.

    Svar:
    Ditt svar:
    Rätt svar:
    (Korrekta varianter)
    {[{correctAnswer}]}
    Bedömningsanvisningar/Manuell rättning
    Klicka i rutorna och bedöm ditt svar.
    • Rättad
    • +1
    • Rättad
    Se mer:Videolektion: Randvinkelsatsen
    Dela med lärare
    Rättar...
  • 17. Premium

    Redigera uppgift Rapportera fel Ändra till korrekt
    (0/0/2)
    E C A
    B
    P 1
    PL
    M
    R 1
    K
    M EXIT NP INGÅR EJ Uppgift från prov

    Lös ekvationen

     $\frac{2^{n-4}\sqrt{2^{n+1}}}{\sqrt{2^{-2n-2}}}=2^{15}$2n42n+122n2 =215 

    Svar:
    Ditt svar:
    Rätt svar:
    (Korrekta varianter)
    {[{correctAnswer}]}
    Bedömningsanvisningar/Manuell rättning
    Klicka i rutorna och bedöm ditt svar.
    • Rättad
    • +1
    • Rättad
    Se mer:Videolektion: Potenser och Potenslagar
    Liknande uppgifter: potenslagar potensregler
    Dela med lärare
    Rättar...
Så hjälper Eddler dig:
Videor som är lätta att förstå Övningar & prov med förklaringar
Allt du behöver för att klara av provet
Så hjälper Eddler dig:
Videor som är lätta att förstå Övningar & prov med förklaringar
Allt du behöver för att klara av provet
Din skolas prenumeration har gått ut!
Påminn din lärare om att förnya eller fortsätt plugga med Eddler på egen hand.
Så funkar det för:
Elever/Studenter Lärare Föräldrar
Din skolas prenumeration har gått ut!
Förnya er prenumeration. Kontakta oss på: info@eddler.se